Educación: se publicaron las asignaciones de vacantes en el concurso de ascenso a cargos directivos
Se ofrecieron 3.118 vacantes. El 23 de febrero se procederá a la toma de posesión, previo análisis de incompatibilidad, y la confección de los listados definitivos.
El ministro de Educación de la provincia de Santa Fe José Goity informó que están publicados los listados con la asignación de cargos directivos en establecimientos educativos (VER EN https://educacion.santafe.gob.ar/wp-content/uploads/sites/2/2026/01/Vacantes-Asignadas-por-Delegacion-Regional-1.pdf ). “Llegamos a la recta final de un concurso de ascenso histórico, por su logística, por la participación de más de 7.000 docentes de todos los niveles, por la conformación de un jurado de 75 miembros del ámbito ministerial y gremial distribuidos en tres zonas y conforme a las especificidades de los niveles y modalidades que llevó adelante un proceso de corrección en tiempo récord con un gran esfuerzo”, indicó.
Goity destacó “el esfuerzo que han hecho los docentes en el proceso de formación y capacitación donde se vio la dedicación con el sistema educativo y los aprendizajes: «Asimismo quiero poner en valor el gran trabajo llevado adelante por las distintas áreas y equipos del Ministerio”. “El concurso se inscribe en una política pública sostenida de fortalecimiento institucional que estamos llevando adelante con el gobernador Maximiliano Pullaro, y que tiene por objetivo jerarquizar la función directiva y consolidar equipos de conducción con formación, legitimidad y criterios pedagógicos claros”, afirmó.
El ministro también recordó algunos datos destacados del mencionado proceso: “En el nivel secundario, la última convocatoria a concurso de ascenso data del año 2002. En los niveles inicial, primario y especial fue mediante resoluciones dictadas en el año 2014. Además, en esta instancia incorporamos la modalidad EEMPA, que había sido largamente postergada”.
Finalmente Goity destacó que “el ofrecimiento de cargos bajo la modalidad virtual, a través del sistema Mi Legajo durante los meses de enero y febrero, garantizó accesibilidad, trazabilidad y transparencia en todo el procedimiento, y garantiza el inicio de clase con todos los equipos directivos en funciones”.
Etapa final: toma de posesión en la institución educativa
Desde el Ministerio de Educación también se informa que el proceso de Concurso de Ascenso a Cargos Directivos culmina con la toma de posesión de las y los docentes en las instituciones educativas asignadas, instancia que materializa la asignación efectiva de los cargos de conducción conforme al orden de mérito establecido.
La toma de posesión se realizará pasadas las instancias de análisis de incompatibilidad de los listados publicados, y se prevé para el próximo 23 de febrero.
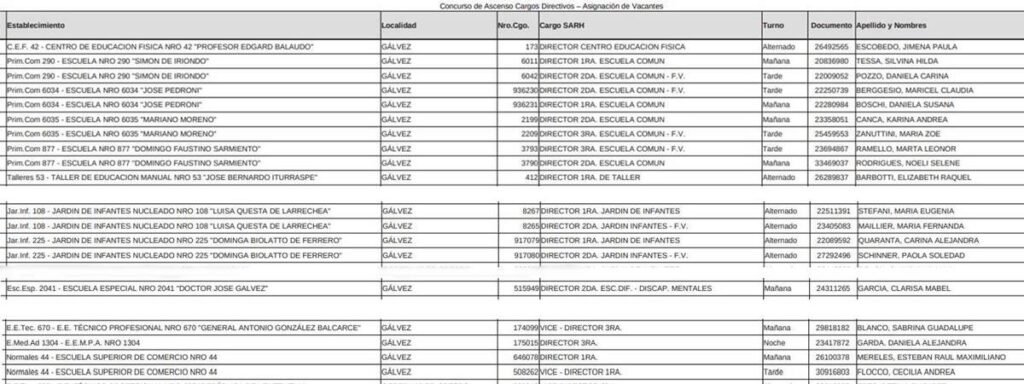
LOS OFRECIMIENTOS EN GÁLVEZ
Compartimos el detalle de los ofrecimientos en la ciudad, en este orden de niveles: Primario, Inicial, Escuela Especial, Secundario
JARDIN DE INFANTES NUCLEADO NRO 108 «LUISA QUESTA DE LARRECHEA» GÁLVEZ 8267 DIRECTOR 1RA. JARDIN DE INFANTES – Alternado – 22511391 STEFANI, MARIA EUGENIA 21
JARDIN DE INFANTES NUCLEADO NRO 108 «LUISA QUESTA DE LARRECHEA» GÁLVEZ 8265 DIRECTOR 2DA. JARDIN INFANTES – F.V. Alternado – 23405083 MAILLIER, MARIA FERNANDA 74
JARDIN DE INFANTES NUCLEADO NRO 225 «DOMINGA BIOLATTO DE FERRERO» GÁLVEZ 917079 DIRECTOR 1RA. JARDIN DE INFANTES – Alternado – 22089592 QUARANTA, CARINA ALEJANDRA 14
JARDIN DE INFANTES NUCLEADO NRO 225 «DOMINGA BIOLATTO DE FERRERO» GÁLVEZ 917080 DIRECTOR 2DA. JARDIN INFANTES – F.V. Alternado – 27292496 SCHINNER, PAOLA SOLEDAD 41
C.E.F. 42 – CENTRO DE EDUCACION FISICA NRO 42 «PROFESOR EDGARD BALAUDO» GÁLVEZ 173 – DIRECTOR CENTRO EDUCACION FISICA Alternado – 26492565 ESCOBEDO, JIMENA PAULA 9
ESCUELA NRO 290 «SIMON DE IRIONDO» GÁLVEZ 6011 – DIRECTOR 1RA. ESCUELA COMUN Mañana – 20836980 TESSA, SILVINA HILDA 7
ESCUELA NRO 290 «SIMON DE IRIONDO» GÁLVEZ 6042 – DIRECTOR 2DA. ESCUELA COMUN – F.V. Tarde 22009052 – POZZO, DANIELA CARINA 188
ESCUELA NRO 6034 «JOSE PEDRONI» GÁLVEZ 936230 – DIRECTOR 2DA. ESCUELA COMUN – F.V. Tarde 22250739 – BERGGESIO, MARICEL CLAUDIA 260
ESCUELA NRO 6034 «JOSE PEDRONI» GÁLVEZ 936231 – DIRECTOR 1RA. ESCUELA COMUN Mañana – 22280984 BOSCHI, DANIELA SUSANA 2
ESCUELA NRO 6035 «MARIANO MORENO» GÁLVEZ 2199 – DIRECTOR 2DA. ESCUELA COMUN Mañana – 23358051 CANCA, KARINA ANDREA 233
ESCUELA NRO 6035 «MARIANO MORENO» GÁLVEZ 2209 – DIRECTOR 3RA. ESCUELA COMUN F.V. Tarde – 25459553 ZANUTTINI, MARIA ZOE 344
ESCUELA NRO 877 «DOMINGO FAUSTINO SARMIENTO» GÁLVEZ 3793 – DIRECTOR 3RA. ESCUELA COMUN – F.V. Tarde – 23694867 RAMELLO, MARTA LEONOR 36
ESCUELA NRO 877 «DOMINGO FAUSTINO SARMIENTO» GÁLVEZ 3790 – DIRECTOR 2DA. ESCUELA COMUN – Mañana – 33469037 RODRIGUES, NOELI SELENE 282
TALLER DE EDUCACION MANUAL NRO 53 «JOSE BERNARDO ITURRASPE» GÁLVEZ 412 – DIRECTOR 1RA. DE TALLER Alternado – 26289837 BARBOTTI, ELIZABETH RAQUEL 14
ESCUELA ESPECIAL NRO 2041 «DOCTOR JOSE GALVEZ» GÁLVEZ 515949 – DIRECTOR 2DA. ESC.DIF. – DISCAP. MENTALES – Mañana – 24311265 GARCIA, CLARISA MABEL 10
E.E. TÉCNICO PROFESIONAL NRO 670 «GENERAL ANTONIO GONZÁLEZ BALCARCE» GÁLVEZ 174099 VICE – DIRECTOR 3RA. – Mañana – 29818182 BLANCO, SABRINA GUADALUPE 164
E.E.M.P.A. NRO 1304 GÁLVEZ 175015 DIRECTOR 3RA. – Noche – 23417872 GARDA, DANIELA ALEJANDRA 5
ESCUELA SUPERIOR DE COMERCIO NRO 44 GÁLVEZ 646078 DIRECTOR 1RA. – Mañana – 26100378 MERELES, ESTEBAN RAUL MAXIMILIANO 162
ESCUELA SUPERIOR DE COMERCIO NRO 44 GÁLVEZ 508262 VICE – DIRECTOR 1RA. – Tarde – 30916803 FLOCCO, CECILIA ANDREA 56







